??上一节我们学习了资料结构里面的各种排序算法,今天,我们接着学习资料结构中又一重要的结构:树,对往期内容感兴趣的小伙伴可以参考下面内容:
- python资料型别: python资料结构之资料型别.
- python的输入输出: python资料结构之输入输出、控制和例外.
- python资料结构之面向物件: python资料结构之面向物件.
- python资料结构之算法分析: python资料结构之算法分析.
- python资料结构之堆栈、队列和双端队列: python资料结构之堆栈、队列和双端队列.
- python资料结构之递回: python资料结构之递回.
- python资料结构之搜索: python资料结构之搜索.
- python资料结构之排序: python资料结构之排序.
资料结构中所说的‘树’,一般都是指二叉树,许多实际问题抽象出来的资料结构往往是二叉树形式,即使是一般的树也能简单地转换为二叉树,而且二叉树的存盘结构及其算法都较为简单,因此二叉树显得特别重要,
目录
- 1.初识树
- 2.树的术语及定义
- 2.1 树的术语
- 2.2 树的定义
- 3. 树的实作
- 3.1 串列实作法
- 3.2 面向物件法
- 4. 二叉树的应用
- 4.1 决议树
- 4.2 树的遍历
- 5. 参考书籍
1.初识树
树结构在我们生活中很常见,我们举一些例子:

从树的顶部开始,沿着由椭圆和箭头构成的路径,一直到底部,一个节点的所有子节点都与另一个节点的所有子节点无关,叶子节点都是独一无二,
2.树的术语及定义
2.1 树的术语
先介绍树的一些术语:
- 节点:节点是树的基础部分,它可以有自己的名字,我们称作“键”,节点也可以带有附加信息,我们称作“有效载荷”,有效载荷信息对于很多树算法来说不是重点,但它常常在使用树的应用中很重要,
- 边:边是树的另一个基础部分,两个节点通过一条边相连,表示它们之间存在关系,除了根节点以外,其他每个节点都仅有一条入边,出边则可能有多条,
- 根节点:根节点是树中唯一没有入边的节点(树的启始节点)
- 路径:路径是由边连接的有序节点串列,比如,哺乳纲→食肉目→猫科→猫属
- 子节点:一个节点通过出边与子节点相连,
- 父节点 :一个节点是其所有子节点的父节点,
- 兄弟节点 :具有同一父节点的节点互称为兄弟节点,
- 子树:一个父节点及其所有后代的节点和边构成一棵子树,
- 叶子节点 :叶子节点没有子节点,
- 层数:节点 n 的层数是从根节点到 n 的唯一路径长度,
- 高度 :树的高度是其中节点层数的最大值,
2.2 树的定义
树的定义有两种:
第一种:
- 有一个根节
- 除根节点外,其他每个节点都与其唯一的父节点相连
- 从根节点到其他每个节点都有且仅有一条路径
- 如果每个节点最多有两个子节点,我们就称这样的树为二叉树
第二种:
一棵树要么为空,要么由一个根节点和零棵或多棵子树构成,子树本身也是一棵树, 每棵子树的根节点通过一条边连到父树的根节点,从树的递回定义可知,图中的树至少有 4 个节点,因为三角形代表的子树必定有一个根节点,这棵树或许有更多 的节点,但必须更深入地查看子树后才能确定,

3. 树的实作
3.1 串列实作法

树的根节点是 myTree[0],左子树是 myTree[1],右子树是 myTree[2]
表示方法如下:
#树
mytree=['a',['b',['d',[],[]],['e',[],[]]],['c',['f',[],[]],[]]]
#左子树
mytree[1]
#右子树
mytree[2]
创建树的函式
def binarytree(r):#创建一颗以r为根节点的树
return [r,[],[]]
def insertleftree(root,newbr):#向左节点插入一棵树
t=root.pop(1)
if len(t)>1:
root.insert(1,[newbr,t,[]])
else:
root.insert(1,[newbr,[],[]])
return root
def insertrighttree(root,newbr):#向右节点插入一颗树
t=root.pop(2)
if len(t)>1:
root.insert(2,[t,newbr,[]])
else:
root.insert(2,[t,newbr,[]])
return root
def getlefttree(r):#获取左子树
return r[1]
def getrighttree(r):#获取右子树
return r[2]
3.2 面向物件法
利用节点与参考,我们将定义一个类,其中有根节点和左右子树的属性, 这种表示法遵循面向物件编程范式,结构如下:

树的实作
class binarytree2:
def __init__(self,key):
self.root=key
self.left=None
self.right=None
def insertleft(self,nbran):#插入左节点
if self.left ==None:
self.left=binarytree2(nbran)
else:
t=binarytree2(nbran)
t.left=self.left
self.left=t
def insertright(self,nbran):#插入右节点
if self.right==None:
self.right=binarytree2(nbran)
else:
t=binarytree2(nbran)
t.right=self.right
self.right=t
def getrighttree(self):#获取右子树
return self.right
def getlefttree(self):#获取左子树
return self.left
def gettreeroot(self):#获取根节点
return self.root
4. 二叉树的应用
4.1 决议树
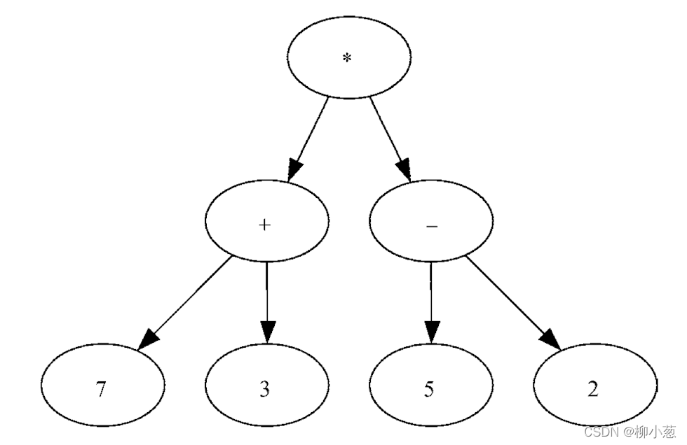
树的实作已经齐全了,现在来看看如何用树解决一些实际问题,这里介绍决议树,可以用它 来表示现实世界中像句子或数学表达式这样的构造,


构建决议树的第一步是将表达式字符串拆分成标记串列,需要考虑 4 种标记:左括号、右括号、运算子和操作数,我们知道,左括号代表新表达式的起点,所以应该创建一棵对应该表达式的新树,反之,遇到右括号则意味着到达该表达式的终点,我们也知道,操作数既是叶子节点,也是其运算子的子节点,此外,每个运算子都有左右子节点,规则如下:
- 如果当前标记是(,就为当前节点添加一个左子节点,并下沉至该子节点;
- 如果当前标记在串列[’+’, ‘-’, ‘/’, ‘*’]中,就将当前节点的值设为当前标记对应的运算子;为当前节点添加一个右子节点,并下沉至该子节点;
- 如果当前标记是数字,就将当前节点的值设为这个数并回传至父节点;
- 如果当前标记是),就跳到当前节点的父节点,
决议树实作方式
rom pythonds.basic import Stack
from pythonds.trees import BinaryTree
def buildParseTree(teststring):#决议树创建
str=teststring.split()#将字符串拆分
pstack=Stack()#创建一个堆栈,方便访问树节点
etree=BinaryTree('')#创建树
pstack.push(etree) #将树压入堆栈中
currenttree = etree
for i in str: #依次判断每个字符所属情况
if i == '(':
currenttree.insertLeft('')
pstack.push(currenttree)
currenttree = currenttree.getLeftChild()
elif i in ['+','-','/','*']:#是运算子,创建右节点
currenttree.setRootVal(i)
currenttree.insertRight('')
pstack.push(currenttree)
currenttree=currenttree.getRightChild()
elif i not in ['+','-','/','*',')']:#是数字设定该节点的值
currenttree.setRootVal(eval(i))
currenttree=pstack.pop()
elif i ==')':
currenttree = pstack.pop()
else:
raise ValueError("Unknown Operator: " + i)
return etree
可通过如下呼叫:

4.2 树的遍历
树是创建好了,可是怎么遍历树呢?按节点的访问方式分为 3 种,我们将对所有节点的访问称为“遍历”,共有 3 种遍历方式,分别为前序遍历、中序遍历和后序遍历,
- 前序遍历:在前序遍历中,先访问根节点,然后递回地前序遍历左子树,最后递回地前序遍历右子树,
- 中序遍历:在中序遍历中,先递回地中序遍历左子树,然后访问根节点,最后递回地中序遍历右子树,
- 后序遍历:在后序遍历中,先递回地后序遍历右子树,然后递回地后序遍历左子树,最后访问根节,
三种遍历方式
#前序遍历
def preorder(tree):
if tree:
print(tree.getRootVal())
preorder(tree.getLeftChild())
preorder(tree.getRightChild())
#中序遍历
def inorder(tree):
if tree != None:
inorder(tree.getLeftChild())
print(tree.getRootVal())
inorder(tree.getRightChild())
#后序遍历
def postorder(tree):
if tree != None:
inorder(tree.getLeftChild())
inorder(tree.getRightChild())
print(tree.getRootVal())
效果如下:

5. 参考书籍
《python资料结构与算法》
《大话资料结构》
0 评论