我正在尝试使用 ggplot2 制作散点图。你可以在下面看到资料和我的代码。
data=data.frame(
gross_i.2019=seq(1,101),
Prediction=seq(21,121))
ggplot(data=data, aes(x=gross_i.2019, y=Prediction, group=1))
geom_point()
此代码生成下面的图表

所以现在我想在散点图上有不同的两种不同颜色的值,第一个 forgross_i.2019和第二个 for Prediction。我尝试使用以下不同颜色的代码,但是这段代码这行代码只会将以前的颜色更改为新颜色。
sccater <- ggplot(data=data, aes(x=gross_i.2019, y=Prediction))
sccater geom_point(color = "#00AFBB")

那么有人可以帮助我如何用两种不同的颜色(例如黑色和红色)制作这个图,一种用于gross_i.2019,第二种用于Prediction?
uj5u.com热心网友回复:
我可能对您想要完成的作业感到困惑,但您似乎没有两组资料来绘制两种不同的颜色。您有一个依赖(预测)和一个独立(gross_i.2019)变量,您正在为其绘制关系图。如果 Prediction 和gross_i.2019 都应该是不同组的因变量,您需要一个共同的自变数来分别绘制它们,针对(例如时间)。然后你可以做类似的事情geompoint(color=groups)
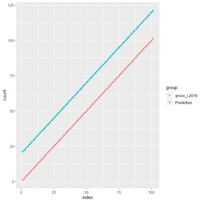
Edit1:如果您希望索引(资料集的计数是您的独立 x 轴),那么您可以执行以下操作:
library(tidyverse)
data=data.frame(gross_i.2019=seq(1,101),Prediction=seq(21,121))
#create a column for the index numbers
data$index <- c(1:101)
#using tidyr pivot your dataset to a tidy dataset (long not wide)
data <- data %>% pivot_longer(!index, names_to="group",values_to="count")
#asign the groups to colors
p<- ggplot(data=data, aes(x=index, y=count, color=group))
p1<- p geom_point()
p1

uj5u.com热心网友回复:
这类问题通常与重塑资料有关。格式应该是长格式,资料是宽格式。请参阅有关如何将资料从宽格式改造成长格式的
0 评论