目录
1.题目
2.解法
2.1 拼接+拆分
3.代码
1.题目
请实作 copyRandomList 函式,复制一个复杂链表,在复杂链表中,每个节点除了有一个 next 指标指向下一个节点,还有一个 random 指标指向链表中的任意节点或者 null,


题目来源:力扣(LeetCode)
链接:https://leetcode-cn.com/problems/fu-za-lian-biao-de-fu-zhi-lcof
2.解法
2.1 拼接+拆分
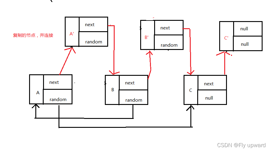
首先我们逐个将节点复制并且和原来的链表连起来得新链表;
然后再构建新链表的random 指向,当访问原节点 cur 的随机指向节点 cur.random 时,对应新节点 cur.next 的随机指向节点为 cur.random.next
将得到的新链表之间的复制节点拆分出来连成一个复制链表,拆分成原链表和复制链表,
链表图

复制节点

将复制节点的random.next 连接起来
拆分成两个链表

3.代码
class Solution {
public Node copyRandomList(Node head) {
if(head == null) {
return null;
}
//1.复制各个链表,并连接
Node cur = head;
while (cur != null) {
//复制
Node prev = new Node(cur.val);
prev.next = cur.next;
//连接
cur.next = prev;
//往后走
cur = prev.next;
}
//2.构建各新节点的random 指向
cur = head;
while (cur != null) {
if (cur.random != null) {
cur.next.random = cur.random.next;
}
cur = cur.next.next;
}
//3.拆分复制的链表
cur = head.next;
Node node = head;
Node nodeNext = head.next;
while (cur.next != null) {
node.next = node.next.next;
cur.next = cur.next.next;
node = node.next;
cur = cur.next;
}
node.next = null;//尾节点
return nodeNext;//回传新链表的头结点
}
}

0 评论